| hangzhou AquaSust Water technology Co., Ltd. Oficina central: #2808, Baiyue Center, Linping, Hangzhou, Zhejiang, China M: 86 152 6746 2807 Correo electrónico: [email protected] Sitio web: www.nihaowater.com www.chinambbr.com www.aquasust.com www.aquasustfactory.com |
||||||||||
Calculareora ree reiseño del proceso de zanjas de oxidación |
||||||||||
| El bloque azul es el datametro de diseño: debe completarse Marrón: calcular datos de proceso Rojo: último resultado de su proceso |
||||||||||
| 1.Parámetros de diseño del proceso de zanja de oxidación: | ||||||||||
| Volumen de agua de tratamiento de diseño Q= | 300 | m³/re= | 12.5 | m³/h | ||||||
| Calidad del agua de entrada: | Calidad del agua del efluente | |||||||||
| Agua de entrada CODCr= | 1620 | mg/L | DQOcr= | 324 | mg/L | |||||
| DBO5=S0= | 840 | mg/L | DBO₅=Sz= | 126 | mg/L | |||||
| TN= | 250 | mg/L | TN= | 30 | mg/L | |||||
| NH4-N= | 180 | mg/L | NH₄⁺-N= | 18 | mg/L | |||||
| Alcalinidad SALK= | 280 | mg/L | pH= | 7.2 | ||||||
| SS= | 180 |
mg/L | SS=Ce= |
20 | mg/L | |||||
f=MLVSS/MLSS= |
0.7 | Concentración de la mezcla X= | 4000 | mgMLSS/L | ||||||
| Se utiliza la edad mínima de lodo | 30 | d | Concentración de oxígeno disuelto del efluente del tanque de aireación |
2 | mg/L | |||||
| Factor de atenuación Kd= | 0.05 | d-1 | Coeficiente de rendimiento de lodos activados Y= |
0.5 | mgMLSS/mgDBO₅ | |||||
| Temperatura media de verano T1= | 25 |
℃ | Tasa de desnitrificación constante qdn,20 a 20 ℃ = |
0.07 | kgNO₃⁻-NkgMLVSS | |||||
| Temperatura media en invierno T2= | 15 | ℃ | Factor de corrección de la temperatura de desnitrificación= |
1.09 | ||||||
| Alcalinidad residual | 100 | mg/L | Factor de seguridad de la reacción de nitrificación K= | 2.5 | ||||||
| Alcalinidad requerida | 7.14 | mg alcalinidad/mgNH4-N oxidación | Oxígeno necesario para la nitrificación. | 4.6 | mgO2/mgNH₄-N | |||||
| Alcalinidad de salida | 3.57 |
mg alcalinidad/mgNO3 -N reductor |
Oxígeno disponible para la desnitrificación. | 2.6 | mgO2/mgNO₃⁺-N | |||||
| Concentración de oxígeno disuelto durante la desnitrificación. | 0.2 | mg/L | Si el lodo biológico contiene aproximadamente | 0.1 | Nitrógeno para la síntesis celular. | |||||
| 2. Cálculo del diseño | ||||||||||
| (1) Cálculo del volumen de la zona aeróbica | ||||||||||
![]() |
459 | m³ | Tiempo de retención hidráulica del tanque aeróbico t1= | 1.53 | d | 36.72 | h | |||
| 3.Cálculo del volumen de la zona hipóxica. | ||||||||||
| (1)Producción de lodos biológicos de zanjas de oxidación | ||||||||||
![]() |
42.84 | kg/díaíaíaíaíaíaíaía | ||||||||
| (2)Para síntesis celular TKN= | 5.31 | kg/díaíaíaíaíaíaíaía | Es decir, hay TKN×1000/300 en TKN= | 17.71 | mg/L | |||||
| Por lo tanto, el [NH4-N] a oxidar = | 144.29 | mg/L | Reducción requerida [NO3 -N]= | 43.29 |
mg/L | |||||
| (3) Tasa de desidentificación | ||||||||||
|
0.036 | kg/(kg.d) | ||||||||
| (4) Volumen de la zona hipóxica V2 | ||||||||||
![]() |
425 | m³ | Tiempo de retención hidráulica del tanque anóxicot₂= | 1.42 | d= | 33.98 | h | |||
| 4. Volumen total del tanque de zanja de oxidación | ||||||||||
| V=V₁ V₂= | 884 | m³ | Tiempo total de retención hidráulica t= | 2.95 | d | |||||
| El diseño toma V= | 900 | m³ | ||||||||
| Profundidad efectiva de diseño del agua h= | 3.5 | m | Ancho del diseño b= | 5.5 | m | |||||
| Entonces la longitud total del zanja requerida L= |
46.75 | m | Tome la longitud de la sección de la zanja lineal = |
22.5 | m | |||||
| Volumen efectivo real = | 11.98.87 | m³ | Tiempo de permanencia real t'= | 4.0 | d | |||||
| 5. Cálculo del equilibrio de alcalinidad | ||||||||||
| (1) La nitrificación consume alcalinidad = | 1030.25 | mg/L | ||||||||
| (2) La desnitrificación produce alcalinidad = | 154.54 | mg/L | ||||||||
| (3) La eliminación de DBO5 produce alcalinidad. | 71.4 | mg/L | ||||||||
| (4) Alcalinidad residual = | 175.69 |
mg/L | ||||||||
| 6. Cálculo de la demandaa real de oxígeno. | 7.Cálculo del oxígeno estándar demand |
|||||||||
| (1) Demanda de oxígeno carbonatado (DQO) | Presione establecer condiciones a= | 0.85 | b= | 1 | ||||||
![]() |
254.17 | kg/díaíaíaíaíaíaíaía | Cs(20)= | 9.17 | θ= | 1 | ||||
| Cs(25)= | 8.38 | |||||||||
![]() |
678.83 | kg/díaíaíaíaíaíaíaía | ||||||||
| (2) Demanda de oxígeno por nitrificación (NOD) | ||||||||||
| D₂=4,5×Q(N-Ne)= | 218.7 | kg/díaíaíaíaíaíaíaía | ||||||||
| (3)Producción de oxígeno por desnitrificación. | 8.Cálculo del flujo de retorno de lodos | |||||||||
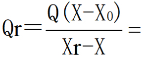
| D3=2.6×Q×Nt= | 33.76 | kg/díaíaíaíaíaíaíaía | Según la condición establecida X₀= | 250 | mg/L | xr= | 10000 | mg/L | ||
| De QXO Qr=(Q Qr)X obtenemos | ||||||||||
| (4) Demanda de NH4-Noxígeno de lodos residuales nitrificantes | ![]() |
187.5 | m³/díaía | |||||||
| D4=0,56×Wv×f= | 16.79 | kg/díaíaíaíaíaíaíaía | ||||||||
| (5) Oxígeno total | ||||||||||
| D=D1 D2-D3-D4= | 422.31 | kg/díaíaíaíaíaíaíaía | 9.Volumen de lodos residuales | |||||||
W=Wv X₁Q-XeQ= |
27.54 | m³/díaía | ||||||||
| Tome el contenido de agua del lodo P= | 99% | |||||||||
![]() |
3.44 | m³/díaía | ||||||||


English
عربى
Español












